
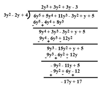
What Must Be Added To The Polynomial 11y 3 5y 4 6y 5 3y 2 Y 5 So That The Resulting Polynomial Is Exactly Divisible By 3y 2 2y 4 Snapsolve
Graph y=2/3x5 Rewrite in slopeintercept form Tap for more steps The slopeintercept form is , where is the slope and is the yintercept Reorder terms Use the slopeintercept form to find the slope and yintercept Tap for more steps Find the values of and using the formV = ∫ 0 1 ∫ x 2 − x (x 2 y 2) d y d x = ∫ 0 1 x 2 y y 3 3 x 2 − x d x = ∫ 0 1 8 3 − 4 x 4 x 2 − 8 x 3 3 d x = 8 x 3 − 2 x 2 4 x 3 3 − 2 x 4 3 0 1 = 4 3 To answer the question of how the formulas for the volumes of different standard solids such as a sphere, a cone, or a cylinder are found, we want to
3−5 x 2−6y3 2 x 2−6 2 3y3
3−5 x 2−6y3 2 x 2−6 2 3y3-22 (a) Let Z 1, Z 2, and Z 3 be uncorrelated random variables, each having variance 1, and set X 1 = Z 1, X 2 = X 1 Z 2, and X 3 = X 2(4 x2 2x3) – (6 – x 3x3) – (6y3 y2) => 4 x2 2x3 6 x 3x3 6y3 y2 => x2 2 x x3 6y3

Alg1ch1
Solution to Quiz #4 and HW 5 1 (quiz problem, (Sec 26 Problem 3)) Determine if the following equation is exact Find the solution if it is exact (3x2 −2xy 2)dx(6y2 −x2 3)dy = 0 Solution Let M(x,y) = 3x2 − 2xy 2 and N(x,y) = 6y2 − x2 3 We have M y = −2x and N x = −2x So M y = N x and the given equation is exactSystems of equations 2 Solve the system 5 x − 3 y = 6 4 x − 5 y = 12 \begin {array} {l} {5x3y = 6} \\ {4x5y = 12} \end {array} 5x−3y = 6 4x−5y = 12 See answer › Exponential and logarithmic functions Solve for x 3 e 3 x ⋅ e − 2 x 5 = 2 Transcript Ex 36, 1 Solve the following pairs of equations by reducing them to a pair of linear equations (iii) 4/𝑥 3y = 14 3/𝑥 – 4y = 23 4/𝑥 3y = 14 3/𝑥 – 4y = 23 So, our equations become 4u 3y = 14 3u – 4y = 23 Now, our equations are 4u 3y = 14 (3) 3u – 4y = 23 (4) From (3) 4u 3y = 14 4u = 14 – 3y u = (14 −3𝑦)/4 Putting value of u in (4) 3u
Use the distributive property to multiply − 6 y by 5 y − 1 Combine 8y^ {2} and 30y^ {2} to get 22y^ {2} Combine 8 y 2 and − 3 0 y 2 to get − 2 2 y 2 Combine 3y and 6y to get 3y Combine − 3 y and 6 y to get 3 y Combine 3y and 9y to get 12y Combine 3 y and 9 y to get 1 2 yThe length of the thin horizontal strip is $2x$, that is, $2\left((y2)^21\right)=1(y2)^2$ Thus our volume is $$\int_{y=1}^3 2\pi y (1(y2)^2)\,dy$$ ShareDetermine whether each polynomial is a monomial, binomial, trinomial, or other polynomial (a) 5 b (b) 8 y 3 − 7 y 2 − y − 3 (c) − 3 x 2 − 5 x 9 (d) 81 − 4 a 2 (e) − 5 x 6
3−5 x 2−6y3 2 x 2−6 2 3y3のギャラリー
各画像をクリックすると、ダウンロードまたは拡大表示できます
![]() Find The Lcm And The Hcf Of The Polynomials X 2 1 X 2 X 2 And X 2 2x 1 X 2 2x 3 5 Ver Youtube | ![]() Find The Lcm And The Hcf Of The Polynomials X 2 1 X 2 X 2 And X 2 2x 1 X 2 2x 3 5 Ver Youtube | ![]() Find The Lcm And The Hcf Of The Polynomials X 2 1 X 2 X 2 And X 2 2x 1 X 2 2x 3 5 Ver Youtube |
![]() Find The Lcm And The Hcf Of The Polynomials X 2 1 X 2 X 2 And X 2 2x 1 X 2 2x 3 5 Ver Youtube | ![]() Find The Lcm And The Hcf Of The Polynomials X 2 1 X 2 X 2 And X 2 2x 1 X 2 2x 3 5 Ver Youtube | Find The Lcm And The Hcf Of The Polynomials X 2 1 X 2 X 2 And X 2 2x 1 X 2 2x 3 5 Ver Youtube |
Find The Lcm And The Hcf Of The Polynomials X 2 1 X 2 X 2 And X 2 2x 1 X 2 2x 3 5 Ver Youtube | Find The Lcm And The Hcf Of The Polynomials X 2 1 X 2 X 2 And X 2 2x 1 X 2 2x 3 5 Ver Youtube | Find The Lcm And The Hcf Of The Polynomials X 2 1 X 2 X 2 And X 2 2x 1 X 2 2x 3 5 Ver Youtube |
![]() Find The Lcm And The Hcf Of The Polynomials X 2 1 X 2 X 2 And X 2 2x 1 X 2 2x 3 5 Ver Youtube | Find The Lcm And The Hcf Of The Polynomials X 2 1 X 2 X 2 And X 2 2x 1 X 2 2x 3 5 Ver Youtube | ![]() Find The Lcm And The Hcf Of The Polynomials X 2 1 X 2 X 2 And X 2 2x 1 X 2 2x 3 5 Ver Youtube |
![]() Find The Lcm And The Hcf Of The Polynomials X 2 1 X 2 X 2 And X 2 2x 1 X 2 2x 3 5 Ver Youtube | ![]() Find The Lcm And The Hcf Of The Polynomials X 2 1 X 2 X 2 And X 2 2x 1 X 2 2x 3 5 Ver Youtube | Find The Lcm And The Hcf Of The Polynomials X 2 1 X 2 X 2 And X 2 2x 1 X 2 2x 3 5 Ver Youtube |
Find The Lcm And The Hcf Of The Polynomials X 2 1 X 2 X 2 And X 2 2x 1 X 2 2x 3 5 Ver Youtube | ![]() Find The Lcm And The Hcf Of The Polynomials X 2 1 X 2 X 2 And X 2 2x 1 X 2 2x 3 5 Ver Youtube | ![]() Find The Lcm And The Hcf Of The Polynomials X 2 1 X 2 X 2 And X 2 2x 1 X 2 2x 3 5 Ver Youtube |
![]() Find The Lcm And The Hcf Of The Polynomials X 2 1 X 2 X 2 And X 2 2x 1 X 2 2x 3 5 Ver Youtube | ![]() Find The Lcm And The Hcf Of The Polynomials X 2 1 X 2 X 2 And X 2 2x 1 X 2 2x 3 5 Ver Youtube | Find The Lcm And The Hcf Of The Polynomials X 2 1 X 2 X 2 And X 2 2x 1 X 2 2x 3 5 Ver Youtube |
![]() Find The Lcm And The Hcf Of The Polynomials X 2 1 X 2 X 2 And X 2 2x 1 X 2 2x 3 5 Ver Youtube | ![]() Find The Lcm And The Hcf Of The Polynomials X 2 1 X 2 X 2 And X 2 2x 1 X 2 2x 3 5 Ver Youtube | ![]() Find The Lcm And The Hcf Of The Polynomials X 2 1 X 2 X 2 And X 2 2x 1 X 2 2x 3 5 Ver Youtube |
![]() Find The Lcm And The Hcf Of The Polynomials X 2 1 X 2 X 2 And X 2 2x 1 X 2 2x 3 5 Ver Youtube | ![]() Find The Lcm And The Hcf Of The Polynomials X 2 1 X 2 X 2 And X 2 2x 1 X 2 2x 3 5 Ver Youtube | ![]() Find The Lcm And The Hcf Of The Polynomials X 2 1 X 2 X 2 And X 2 2x 1 X 2 2x 3 5 Ver Youtube |
![]() Find The Lcm And The Hcf Of The Polynomials X 2 1 X 2 X 2 And X 2 2x 1 X 2 2x 3 5 Ver Youtube | ![]() Find The Lcm And The Hcf Of The Polynomials X 2 1 X 2 X 2 And X 2 2x 1 X 2 2x 3 5 Ver Youtube | ![]() Find The Lcm And The Hcf Of The Polynomials X 2 1 X 2 X 2 And X 2 2x 1 X 2 2x 3 5 Ver Youtube |
![]() Find The Lcm And The Hcf Of The Polynomials X 2 1 X 2 X 2 And X 2 2x 1 X 2 2x 3 5 Ver Youtube | ![]() Find The Lcm And The Hcf Of The Polynomials X 2 1 X 2 X 2 And X 2 2x 1 X 2 2x 3 5 Ver Youtube | Find The Lcm And The Hcf Of The Polynomials X 2 1 X 2 X 2 And X 2 2x 1 X 2 2x 3 5 Ver Youtube |
![]() Find The Lcm And The Hcf Of The Polynomials X 2 1 X 2 X 2 And X 2 2x 1 X 2 2x 3 5 Ver Youtube | ![]() Find The Lcm And The Hcf Of The Polynomials X 2 1 X 2 X 2 And X 2 2x 1 X 2 2x 3 5 Ver Youtube | ![]() Find The Lcm And The Hcf Of The Polynomials X 2 1 X 2 X 2 And X 2 2x 1 X 2 2x 3 5 Ver Youtube |
![]() Find The Lcm And The Hcf Of The Polynomials X 2 1 X 2 X 2 And X 2 2x 1 X 2 2x 3 5 Ver Youtube | ![]() Find The Lcm And The Hcf Of The Polynomials X 2 1 X 2 X 2 And X 2 2x 1 X 2 2x 3 5 Ver Youtube | ![]() Find The Lcm And The Hcf Of The Polynomials X 2 1 X 2 X 2 And X 2 2x 1 X 2 2x 3 5 Ver Youtube |
Find The Lcm And The Hcf Of The Polynomials X 2 1 X 2 X 2 And X 2 2x 1 X 2 2x 3 5 Ver Youtube | ![]() Find The Lcm And The Hcf Of The Polynomials X 2 1 X 2 X 2 And X 2 2x 1 X 2 2x 3 5 Ver Youtube | Find The Lcm And The Hcf Of The Polynomials X 2 1 X 2 X 2 And X 2 2x 1 X 2 2x 3 5 Ver Youtube |
![]() Find The Lcm And The Hcf Of The Polynomials X 2 1 X 2 X 2 And X 2 2x 1 X 2 2x 3 5 Ver Youtube | ![]() Find The Lcm And The Hcf Of The Polynomials X 2 1 X 2 X 2 And X 2 2x 1 X 2 2x 3 5 Ver Youtube | Find The Lcm And The Hcf Of The Polynomials X 2 1 X 2 X 2 And X 2 2x 1 X 2 2x 3 5 Ver Youtube |
![]() Find The Lcm And The Hcf Of The Polynomials X 2 1 X 2 X 2 And X 2 2x 1 X 2 2x 3 5 Ver Youtube | ![]() Find The Lcm And The Hcf Of The Polynomials X 2 1 X 2 X 2 And X 2 2x 1 X 2 2x 3 5 Ver Youtube | ![]() Find The Lcm And The Hcf Of The Polynomials X 2 1 X 2 X 2 And X 2 2x 1 X 2 2x 3 5 Ver Youtube |
![]() Find The Lcm And The Hcf Of The Polynomials X 2 1 X 2 X 2 And X 2 2x 1 X 2 2x 3 5 Ver Youtube | ![]() Find The Lcm And The Hcf Of The Polynomials X 2 1 X 2 X 2 And X 2 2x 1 X 2 2x 3 5 Ver Youtube | ![]() Find The Lcm And The Hcf Of The Polynomials X 2 1 X 2 X 2 And X 2 2x 1 X 2 2x 3 5 Ver Youtube |
![]() Find The Lcm And The Hcf Of The Polynomials X 2 1 X 2 X 2 And X 2 2x 1 X 2 2x 3 5 Ver Youtube | ![]() Find The Lcm And The Hcf Of The Polynomials X 2 1 X 2 X 2 And X 2 2x 1 X 2 2x 3 5 Ver Youtube | ![]() Find The Lcm And The Hcf Of The Polynomials X 2 1 X 2 X 2 And X 2 2x 1 X 2 2x 3 5 Ver Youtube |
![]() Find The Lcm And The Hcf Of The Polynomials X 2 1 X 2 X 2 And X 2 2x 1 X 2 2x 3 5 Ver Youtube | ![]() Find The Lcm And The Hcf Of The Polynomials X 2 1 X 2 X 2 And X 2 2x 1 X 2 2x 3 5 Ver Youtube | Find The Lcm And The Hcf Of The Polynomials X 2 1 X 2 X 2 And X 2 2x 1 X 2 2x 3 5 Ver Youtube |
![]() Find The Lcm And The Hcf Of The Polynomials X 2 1 X 2 X 2 And X 2 2x 1 X 2 2x 3 5 Ver Youtube | ![]() Find The Lcm And The Hcf Of The Polynomials X 2 1 X 2 X 2 And X 2 2x 1 X 2 2x 3 5 Ver Youtube | ![]() Find The Lcm And The Hcf Of The Polynomials X 2 1 X 2 X 2 And X 2 2x 1 X 2 2x 3 5 Ver Youtube |
Find The Lcm And The Hcf Of The Polynomials X 2 1 X 2 X 2 And X 2 2x 1 X 2 2x 3 5 Ver Youtube | ![]() Find The Lcm And The Hcf Of The Polynomials X 2 1 X 2 X 2 And X 2 2x 1 X 2 2x 3 5 Ver Youtube | ![]() Find The Lcm And The Hcf Of The Polynomials X 2 1 X 2 X 2 And X 2 2x 1 X 2 2x 3 5 Ver Youtube |
![]() Find The Lcm And The Hcf Of The Polynomials X 2 1 X 2 X 2 And X 2 2x 1 X 2 2x 3 5 Ver Youtube | ![]() Find The Lcm And The Hcf Of The Polynomials X 2 1 X 2 X 2 And X 2 2x 1 X 2 2x 3 5 Ver Youtube | ![]() Find The Lcm And The Hcf Of The Polynomials X 2 1 X 2 X 2 And X 2 2x 1 X 2 2x 3 5 Ver Youtube |
![]() Find The Lcm And The Hcf Of The Polynomials X 2 1 X 2 X 2 And X 2 2x 1 X 2 2x 3 5 Ver Youtube | ![]() Find The Lcm And The Hcf Of The Polynomials X 2 1 X 2 X 2 And X 2 2x 1 X 2 2x 3 5 Ver Youtube | Find The Lcm And The Hcf Of The Polynomials X 2 1 X 2 X 2 And X 2 2x 1 X 2 2x 3 5 Ver Youtube |
Find The Lcm And The Hcf Of The Polynomials X 2 1 X 2 X 2 And X 2 2x 1 X 2 2x 3 5 Ver Youtube | ![]() Find The Lcm And The Hcf Of The Polynomials X 2 1 X 2 X 2 And X 2 2x 1 X 2 2x 3 5 Ver Youtube | ![]() Find The Lcm And The Hcf Of The Polynomials X 2 1 X 2 X 2 And X 2 2x 1 X 2 2x 3 5 Ver Youtube |
Find The Lcm And The Hcf Of The Polynomials X 2 1 X 2 X 2 And X 2 2x 1 X 2 2x 3 5 Ver Youtube | ![]() Find The Lcm And The Hcf Of The Polynomials X 2 1 X 2 X 2 And X 2 2x 1 X 2 2x 3 5 Ver Youtube | ![]() Find The Lcm And The Hcf Of The Polynomials X 2 1 X 2 X 2 And X 2 2x 1 X 2 2x 3 5 Ver Youtube |
Find The Lcm And The Hcf Of The Polynomials X 2 1 X 2 X 2 And X 2 2x 1 X 2 2x 3 5 Ver Youtube | ![]() Find The Lcm And The Hcf Of The Polynomials X 2 1 X 2 X 2 And X 2 2x 1 X 2 2x 3 5 Ver Youtube | Find The Lcm And The Hcf Of The Polynomials X 2 1 X 2 X 2 And X 2 2x 1 X 2 2x 3 5 Ver Youtube |
![]() Find The Lcm And The Hcf Of The Polynomials X 2 1 X 2 X 2 And X 2 2x 1 X 2 2x 3 5 Ver Youtube | ![]() Find The Lcm And The Hcf Of The Polynomials X 2 1 X 2 X 2 And X 2 2x 1 X 2 2x 3 5 Ver Youtube | Find The Lcm And The Hcf Of The Polynomials X 2 1 X 2 X 2 And X 2 2x 1 X 2 2x 3 5 Ver Youtube |
Find The Lcm And The Hcf Of The Polynomials X 2 1 X 2 X 2 And X 2 2x 1 X 2 2x 3 5 Ver Youtube | ![]() Find The Lcm And The Hcf Of The Polynomials X 2 1 X 2 X 2 And X 2 2x 1 X 2 2x 3 5 Ver Youtube | ![]() Find The Lcm And The Hcf Of The Polynomials X 2 1 X 2 X 2 And X 2 2x 1 X 2 2x 3 5 Ver Youtube |
Find The Lcm And The Hcf Of The Polynomials X 2 1 X 2 X 2 And X 2 2x 1 X 2 2x 3 5 Ver Youtube | ![]() Find The Lcm And The Hcf Of The Polynomials X 2 1 X 2 X 2 And X 2 2x 1 X 2 2x 3 5 Ver Youtube | Find The Lcm And The Hcf Of The Polynomials X 2 1 X 2 X 2 And X 2 2x 1 X 2 2x 3 5 Ver Youtube |
![]() Find The Lcm And The Hcf Of The Polynomials X 2 1 X 2 X 2 And X 2 2x 1 X 2 2x 3 5 Ver Youtube | ![]() Find The Lcm And The Hcf Of The Polynomials X 2 1 X 2 X 2 And X 2 2x 1 X 2 2x 3 5 Ver Youtube | ![]() Find The Lcm And The Hcf Of The Polynomials X 2 1 X 2 X 2 And X 2 2x 1 X 2 2x 3 5 Ver Youtube |
Find The Lcm And The Hcf Of The Polynomials X 2 1 X 2 X 2 And X 2 2x 1 X 2 2x 3 5 Ver Youtube | Find The Lcm And The Hcf Of The Polynomials X 2 1 X 2 X 2 And X 2 2x 1 X 2 2x 3 5 Ver Youtube | ![]() Find The Lcm And The Hcf Of The Polynomials X 2 1 X 2 X 2 And X 2 2x 1 X 2 2x 3 5 Ver Youtube |
![]() Find The Lcm And The Hcf Of The Polynomials X 2 1 X 2 X 2 And X 2 2x 1 X 2 2x 3 5 Ver Youtube | Find The Lcm And The Hcf Of The Polynomials X 2 1 X 2 X 2 And X 2 2x 1 X 2 2x 3 5 Ver Youtube | Find The Lcm And The Hcf Of The Polynomials X 2 1 X 2 X 2 And X 2 2x 1 X 2 2x 3 5 Ver Youtube |
![]() Find The Lcm And The Hcf Of The Polynomials X 2 1 X 2 X 2 And X 2 2x 1 X 2 2x 3 5 Ver Youtube | ![]() Find The Lcm And The Hcf Of The Polynomials X 2 1 X 2 X 2 And X 2 2x 1 X 2 2x 3 5 Ver Youtube | ![]() Find The Lcm And The Hcf Of The Polynomials X 2 1 X 2 X 2 And X 2 2x 1 X 2 2x 3 5 Ver Youtube |
Find The Lcm And The Hcf Of The Polynomials X 2 1 X 2 X 2 And X 2 2x 1 X 2 2x 3 5 Ver Youtube | ![]() Find The Lcm And The Hcf Of The Polynomials X 2 1 X 2 X 2 And X 2 2x 1 X 2 2x 3 5 Ver Youtube | ![]() Find The Lcm And The Hcf Of The Polynomials X 2 1 X 2 X 2 And X 2 2x 1 X 2 2x 3 5 Ver Youtube |
Find The Lcm And The Hcf Of The Polynomials X 2 1 X 2 X 2 And X 2 2x 1 X 2 2x 3 5 Ver Youtube | Find The Lcm And The Hcf Of The Polynomials X 2 1 X 2 X 2 And X 2 2x 1 X 2 2x 3 5 Ver Youtube |
AnswerStepbystep explanationHow to solve your problem23−43−635−23y^{2}x^{3}4x^{3}6y^{3}52x^{3}y2x3−4x3−6y35−2x3Simplify1Combine like terms23−43−63 mayafurey622 mayafurey622 4 days ago Mathematics College answered I need help with this y^2x^34x^36y^352x^3 2 See answers that's not the right answerCOMPLETE SOLUTIONS DIFFERENTIAL EQUATIONS WITH MODELING APPLICATIONS DIFFERENTIAL EQUATIONS WITH BOUNDARY·VALUE PROBLEMS 5TH EDITION
0 件のコメント:
コメントを投稿